扫码进入升本备考群
您好,欢迎访问贵州专升本,我们将竭诚为您服务!
当前位置:库课网校 > 考试真题 > 2022贵州专升本数学真题及答案(证明题)
2022贵州专升本数学真题及答案(证明题)
2022-04-11 09:21:25  浏览量:245次
分享至

  2022年贵州专升本高等数学考试题型有单项选择题、填空题、计算题、证明题、应用题。考试总分满分150分。下面来看第Ⅱ卷证明题考试真题及答案。

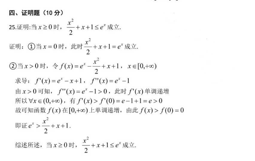
  、证明题(本题共10分)

2022贵州专升本数学真题及答案(证明题)


答案仅供参考

  前面老师更新了选择题、填空题、计算题真题及答案,后续老师还会更新应用题真题及答案,考生及时关注库课网校贵州专升本资讯


专升本备考资料免费领取↓↓↓

资料下载
  • 2024年贵州省专升本大学语文真题+答案
  • 2024年贵州省专升本大学英语真题+答案
  • 2024年贵州省专升本大学数学真题+答案
  • 零基础必背!专升本英语50个常考句型
  • 专升本英语语法真题精选1000题
  • 2024年贵州省专升本大学英语真题
  • 2024年贵州省专升本大学语文考试真题
  • 2024年贵州省专升本高等数学真题
  • 2025统招专升本英语作文模板20篇
  • 专升本英语固定搭配及短语常考作文翻译使用
公司地址:郑州市文化路112号库课科技大厦
服务热线: 400-6529-888
下载库课网校app